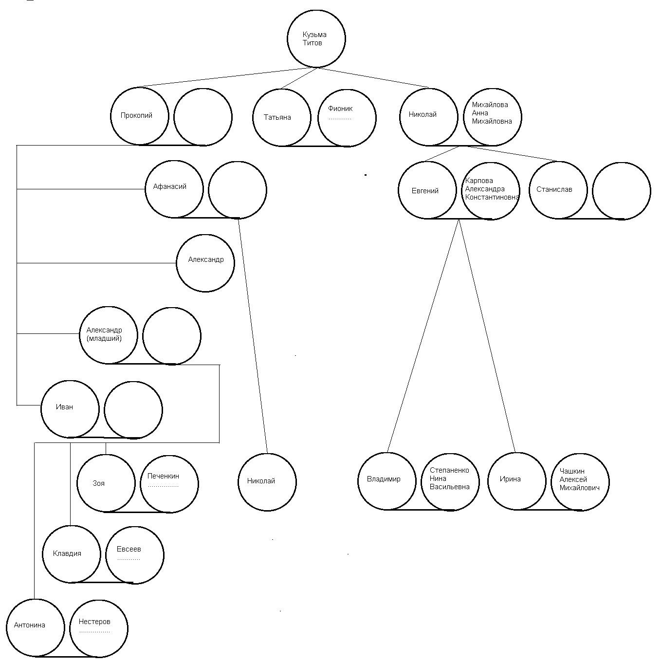
Таблица поколений рода Титова Кузьмы
| I |
1. |
Кузьма Титов |
|
|
| |
|
|
|
|
| II |
1.1. |
Прокопий Титов |
|
|
| |
1.2. |
Татьяна Фионик (Титова) |
Муж Фионик |
|
| |
1.3. |
Николай Титов (03.11.1905-06.01.1983) |
Жена Михайлова Анна Михайловна (1903-30.10.1964) |
|
| |
|
|
|
|
| III |
1.1.1. |
Афанасий Титов |
|
|
| |
1.1.2. |
Александр Титов |
|
|
| |
1.1.3. |
Александ (младший) Титов |
|
|
| |
1.1.4. |
Иван Титов |
|
|
| |
1.3.1. |
Евгений Титов 01.12.1929-01.06.2002 |
Жена Карпова Александра Константиновна 05.10.1932-25.032007 |
|
| |
1.3.2. |
Станислав Титов 07.02.1932-17.08.2003 |
|
|
| |
|
|
|
|
| IV |
1.3.1.1. |
Владимир Титов |
Жена Степаненко Нина Васильевна |
|
| |
1.3.1.2. |
Ирина Чашкина (Титова) |
Муж Чашкин Алексей Михайлович |
|
| |
1.1.3.1. |
Зоя Печенкина (Титова) |
Муж Печенкин |
|
| |
1.1.3.2. |
Клавдия Евсеева (Титова) |
Муж Евсеев |
|
| |
1.1.3.3. |
Антонина Нестерова (Титова) |
Муж Нестеров |
|
| |
1.1.1.1. |
Николай Титов |
|
|
